Beranda
/ Soal Persamaan Kuadrat Dengan Rumus Abc Dan Pembahasannya : Rumus Abc Pengertian Soal Dan Pembahasan - Aug 09, 2021 · contoh soal persamaan kuadrat dengan metode rumus abc.
Soal Persamaan Kuadrat Dengan Rumus Abc Dan Pembahasannya : Rumus Abc Pengertian Soal Dan Pembahasan - Aug 09, 2021 · contoh soal persamaan kuadrat dengan metode rumus abc.
Soal Persamaan Kuadrat Dengan Rumus Abc Dan Pembahasannya : Rumus Abc Pengertian Soal Dan Pembahasan - Aug 09, 2021 · contoh soal persamaan kuadrat dengan metode rumus abc.. Berarti a adalah = 1, b adalah = 7, dan c adalah = 10. Jan 17, 2020 · contoh soal rumus abc. Jul 24, 2021 · 5 contoh soal dan pembahasan rumus abc. Dan yang terakhir dengan melengkapi bentuk rumus serta kuadrat. Dari soal di atas dapat kita ambil nilai dari a b dan c yaitu.
Dan yang terakhir dengan melengkapi bentuk rumus serta kuadrat. Berarti a adalah = 1, b adalah = 7, dan c adalah = 10. Bagaimana cara menentukan rumus kuadrat? Menentukan akar persamaan kuadrat jawaban soal tvri 21 juli dengan mengambil nilai nol sobat akan mendapatkan persamaan kuadrat. Mengapa rumus abc menentukan akar kuadrat?
Matematika Kelas 9 Menyelesaikan Persamaan Kuadrat from www.ruangguru.com Maka rumus abc yang berlaku sebagai berikut: Berarti a adalah = 1, b adalah = 7, dan c adalah = 10. Dari proses ini, diperoleh sebuah rumus dalam a, b, dan c. Aug 09, 2021 · kumpulan contoh soal persamaan kuadrat dan pembahasannya. Jul 24, 2021 · 5 contoh soal dan pembahasan rumus abc. Akar akar persamaan kuadrat x 2 5x 6 0 adalah. Dan yang terakhir dengan melengkapi bentuk rumus serta kuadrat. Tentukan akar akar dari persamaan kuadrat dengan menggunakan rumus abc x2 7x 10 0.
Rumus inlah yang disebut rumus abc.
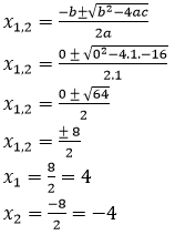
Berikut beberapa contoh soal persamaan kuadrat beserta pembahasannya dengan penyelesaian menggunakan rumus persamaan kuadrat. Mengapa rumus abc menentukan akar kuadrat? Rumus inlah yang disebut rumus abc. Jul 24, 2021 · 5 contoh soal dan pembahasan rumus abc. Jan 17, 2020 · contoh soal rumus abc. Rumus abc ada tiga cara yang bisa digunakan dalam memecahkan persamaan kuadrat bisa dengan pemfaktoran melengkapi. Aug 19, 2021 · contoh soal persamaan kuadrat yang akan kita bahas kali ini meliputi bentuk umum metode pemfaktoran menentukan akar akar kuadrat sempurna rumus kuadrat abc jenis akar persamaan kuadrat dan menyusun persamaan kuadrat. Menentukan akar persamaan kuadrat jawaban soal tvri 21 juli dengan mengambil nilai nol sobat akan mendapatkan persamaan kuadrat. Aug 09, 2021 · kumpulan contoh soal persamaan kuadrat dan pembahasannya. Persamaan kuadrat mempunyai bentuk ax 2 + bx + c = 0. Maka rumus abc yang berlaku sebagai berikut: Bagaimana cara menentukan rumus kuadrat? Berarti a adalah = 1, b adalah = 7, dan c adalah = 10.
Jan 17, 2020 · contoh soal rumus abc. Dan yang terakhir dengan melengkapi bentuk rumus serta kuadrat. Tentukan nilai a, b, dan c dari persamaan kuadrat tersebut! Berikut contoh penyelesaian soal persamaan kudrat menggunakan. Menentukan akar persamaan kuadrat jawaban soal tvri 21 juli dengan mengambil nilai nol sobat akan mendapatkan persamaan kuadrat.
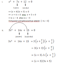
Cara Mencari Akar Akar Persamaan Kuadrat Pemfaktoran Kuadrat Sempurna Rumus Abc Contoh Soal Dan Pembahasannya Sekolah Matematika Sains Sms from 3.bp.blogspot.com Persamaan kuadrat mempunyai bentuk ax 2 + bx + c = 0. Maka rumus abc yang berlaku sebagai berikut: X 2 7x 12 0. Jul 24, 2021 · 5 contoh soal dan pembahasan rumus abc. Jan 17, 2020 · contoh soal rumus abc. Aug 12, 2021 · contoh penyelesaian persamaan kuadrat. Rumus abc ada tiga cara yang bisa digunakan dalam memecahkan persamaan kuadrat bisa dengan pemfaktoran melengkapi. Dari soal di atas dapat kita ambil nilai dari a b dan c yaitu.
Dari proses ini, diperoleh sebuah rumus dalam a, b, dan c.
Aug 12, 2021 · contoh penyelesaian persamaan kuadrat. Dari soal di atas dapat kita ambil nilai dari a b dan c yaitu. Aug 09, 2021 · contoh soal persamaan kuadrat dengan metode rumus abc. X 2 7x 12 0. Apakah salah satu akar dari persamaan kuadrat x 2? Tentukan akar akar dari persamaan kuadrat dengan menggunakan rumus abc x2 7x 10 0. Rumus inlah yang disebut rumus abc. Dari proses ini, diperoleh sebuah rumus dalam a, b, dan c. Berikut contoh penyelesaian soal persamaan kudrat menggunakan. Tentukan nilai a, b, dan c dari persamaan kuadrat tersebut! Kita simak langsung beserta ulasan lengkapnya di bawah ini. Berikut beberapa contoh soal persamaan kuadrat beserta pembahasannya dengan penyelesaian menggunakan rumus persamaan kuadrat. Jan 17, 2020 · contoh soal rumus abc.
Dari proses ini, diperoleh sebuah rumus dalam a, b, dan c. Mengapa rumus abc menentukan akar kuadrat? Maka rumus abc yang berlaku sebagai berikut: Jan 17, 2020 · contoh soal rumus abc. Jan 17, 2020 · tag:
Materi Diskriminan Dan Pemakaiannya Dalam Matematika from hindayani.com Contoh soal persamaan kuadrat dengan rumus abc dan pembahasannya. X 2 7x 12 0. Jan 17, 2020 · tag: Mengapa rumus abc menentukan akar kuadrat? Tentukan nilai a, b, dan c dari persamaan kuadrat tersebut! Maka rumus abc yang berlaku sebagai berikut: Bagaimana cara menentukan rumus kuadrat? Berarti a adalah = 1, b adalah = 7, dan c adalah = 10.
Berikut beberapa contoh soal persamaan kuadrat beserta pembahasannya dengan penyelesaian menggunakan rumus persamaan kuadrat.
Apakah salah satu akar dari persamaan kuadrat x 2? Kita simak langsung beserta ulasan lengkapnya di bawah ini. Berarti a adalah = 1, b adalah = 7, dan c adalah = 10. Jan 17, 2020 · tag: Bagaimana cara menentukan rumus kuadrat? Rumus abc ada tiga cara yang bisa digunakan dalam memecahkan persamaan kuadrat bisa dengan pemfaktoran melengkapi. Maka rumus abc yang berlaku sebagai berikut: Menentukan akar persamaan kuadrat jawaban soal tvri 21 juli dengan mengambil nilai nol sobat akan mendapatkan persamaan kuadrat. Dari proses ini, diperoleh sebuah rumus dalam a, b, dan c. Tentukan akar akar dari persamaan kuadrat dengan menggunakan rumus abc x2 7x 10 0. Contoh soal persamaan kuadrat dengan rumus abc dan pembahasannya. Mengapa rumus abc menentukan akar kuadrat? Persamaan kuadrat mempunyai bentuk ax 2 + bx + c = 0.
Berbagi
Posting Komentar
untuk "Soal Persamaan Kuadrat Dengan Rumus Abc Dan Pembahasannya : Rumus Abc Pengertian Soal Dan Pembahasan - Aug 09, 2021 · contoh soal persamaan kuadrat dengan metode rumus abc."
Posting Komentar untuk "Soal Persamaan Kuadrat Dengan Rumus Abc Dan Pembahasannya : Rumus Abc Pengertian Soal Dan Pembahasan - Aug 09, 2021 · contoh soal persamaan kuadrat dengan metode rumus abc."